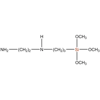
3-(2-氨基乙基氨基)丙基三甲氧基硅烷

相当于 Momentive 的 A-1120、Dow 的 Z-6020、Wacker 的 GF91、Evonik 的 Dynasylan DAMO、ShinEtsu 的KBM-603.
3-(2-氨基乙基氨基)丙基三甲氧基硅烷

物理和化学特性

化学文摘社编号1760-24-3
EINECS 编号217-164-6
公式C8H2223
分子量222.4
沸点259°C [760毫米汞柱]
闪点128℃
颜色和外观无色透明液体
密度 25/25°C1.025
折射率1.446 [20°C]
分钟。纯度98.0%


应用

1. 可用作聚硫化物、聚氯乙烯增塑溶胶、有机硅两部分聚氨酯和环氧硅烷粘合剂和密封剂中的粘合促进剂。

2. 可用作玻璃和金属底漆,以提高许多涂料(聚氨酯、环氧树脂、酚醛树脂等)对玻璃和金属表面的附着力。

3. 可用作玻璃纤维面漆或玻璃纤维增强酚醛、三聚氰胺和环氧热固性复合材料的树脂添加剂。

4. 可在铸造和磨料复合应用中用作矿物粘合剂,以提高粘合力,增加复合材料强度。

5、可作为天然橡胶、丁腈橡胶等粘土增强弹性体的有效偶联剂,改善物理和动态性能。

6、硅烷偶联剂可作为矿物增强尼龙6、尼龙6/6和聚对苯二甲酸丁二醇酯的有效偶联剂,以提高热塑性复合材料的弯曲和拉伸强度。

包装和储存

采用200Kg钢桶或1000Kg IBC集装箱供应。

存放在原始未开封容器中,置于干燥阴凉处,保质期为一年。

欲了解更多信息 请参阅安全数据表 (MSDS)、产品安全数据表和产品检验报告 联系我们


浩康证书

准备好开始了吗?

立即联系山东隆楚新材料有限公司有机硅产品供应商,让您的想法或设计更快变为现实!

请填写联系表格,我们预计在24小时内回复您。

相关产品

Cas: 23843-64-3

脲基丙基三甲氧基硅烷是一种化学物质物质

Cas: 4420-74-0

(3-巯基丙基)三甲氧基硅烷 (KH-590) 是一种双功能硅烷偶联剂,可在无机基材(例如金属、玻璃纤维)和有机聚合物(例如橡胶、树脂)。

Cas: 14814-09-6

3-巯基丙基三乙氧基硅烷是一种化学物质,为浅黄色液体液体。

Cas: 78-10-4

常在有机合成中用作试剂。原硅酸乙酯可作为催化剂或反应中间体参与多种有机反应,如酯化、醚化等。

我们的市场

山东隆楚新材料有限公司成立于2015年,是一家专注于硅胶产品的制造商。其产品种类包括:有机硅烷、硅树脂、硅油、改良硅油及其深加工产品,产品的应用领域涵盖日常......