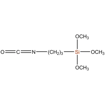
3-异氰酸酯丙基三甲氧基硅烷

三甲氧基(3-异氰基丙基)硅烷; 3-(三甲氧基甲硅烷基)丙基异氰酸酯;
3-异氰酸酯丙基三甲氧基硅烷

物理和化学性质

化学文摘社编号15396-00-6
EINECS 编号239-415-9
公式C7H154
分子量205.28
沸点210°C [760毫米汞柱]
闪点108℃
颜色和外观无色透明液体
密度 25/25°C1.08
折射率1.421 [25°C]
分钟。纯度98.0%


应用

1. 3-异氰酸酯丙基三甲氧基硅烷是一种带有异氰酸酯官能团的硅烷。该产品在粘合剂和密封剂中用作交联剂和粘合促进剂。可粘附多种基材;在玻璃、金属等无机基材上具有优异的湿附着性能;它还可以很好地粘附在难以粘附的基材上,例如尼龙和其他塑料制品。在大气湿度存在下能迅速水解,具有非常好的热稳定性、化学稳定性和紫外线稳定性。

2、功能组介绍: 作为有机硅交联剂,可在高分子材料、橡胶、涂料的官能团引入反应中作为改性剂。

3、表面改性剂: 可作为表面活性改性剂,具有良好的分散性,可增强颗粒材料与基材的相互粘结性能。

4、附着力增强剂: 将其添加到粘合剂、涂料等中,可增加其对不同基材的附着力,并提高耐水性和耐化学腐蚀性。

5、涂层材质: 可作为涂料的组分之一,具有优良的耐候性和耐化学药品性。

包装和储存

采用25Kg塑料桶、200Kg钢桶或1000Kg IBC集装箱包装。

在未开封的容器中,保质期为一年。

欲了解更多信息 请参阅安全数据表 (MSDS)、产品安全数据表和产品检验报告 联系我们


浩康证书

准备好开始了吗?

立即联系山东隆楚新材料有限公司有机硅产品供应商,让您的想法或设计更快变为现实!

请填写联系表格,我们预计在24小时内回复您。

相关产品

Cas: 23843-64-3

脲基丙基三甲氧基硅烷是一种化学物质物质

Cas: 4420-74-0

(3-巯基丙基)三甲氧基硅烷 (KH-590) 是一种双功能硅烷偶联剂,可在无机基材(例如金属、玻璃纤维)和有机聚合物(例如橡胶、树脂)。

Cas: 14814-09-6

3-巯基丙基三乙氧基硅烷是一种化学物质,为浅黄色液体液体。

Cas: 78-10-4

常在有机合成中用作试剂。原硅酸乙酯可作为催化剂或反应中间体参与多种有机反应,如酯化、醚化等。

我们的市场

山东隆楚新材料有限公司成立于2015年,是一家专注于硅胶产品的制造商。其产品种类包括:有机硅烷、硅树脂、硅油、改良硅油及其深加工产品,产品的应用领域涵盖日常......