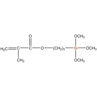
3-甲基丙烯酰氧基丙基三甲氧基硅烷

相当于 Momentive 的 A-174、Dow 的 Z-6030、Wacker 的 GF31、Evonik 的 Dynasylan MEMO、ShinEtsu 的KBM-503.
3-甲基丙烯酰氧基丙基三甲氧基硅烷

物理和化学特性

化学文摘社编号2530-85-0
EINECS 编号219-785-8
公式C10H205
分子量248.35
粘度 25°C2厘沲
沸点255°C [760毫米汞柱]
闪点108℃
颜色和外观无色透明液体
密度 25/25°C1.045
折射率1.430 [25°C]
分钟。纯度99.0%


应用

1、主要应用于不饱和聚酯复合材料,可提高复合材料的力学性能、电性能、透光率,特别是能大幅度提高复合材料的湿态性能。

2、用(含本偶联剂)对玻璃纤维进行湿法处理,可以提高玻璃纤维增强复合材料湿态下的机械强度和电性能。

3、电线电缆行业中,用偶联剂处理粘土填充过氧化物交联的EPDM体系,以提高消耗系数和比电感、比电容。

4. 由醋酸乙烯酯与丙烯酸或甲基丙烯酸单体共聚而成,这些聚合物广泛应用于涂料、粘合剂和密封剂,具有优异的附着力和耐久性。

5、主要用于提高有机和无机材料的粘结性能,如玻璃钢中的玻璃纤维与塑料、橡胶、油漆、涂料中的硅质填料等材料的粘结性能。它还用于粘合剂中以提高粘合性能。

6、两种材料的偶联,提高产品的机械强度、复合材料的电气性能、耐候性和耐腐蚀性,适用于不饱和聚酯和丙烯酸酯胶粘剂。

包装和储存

偶联剂570包装在蓝色塑料桶内,外面有纸箱,需要避光保存。


本品遇水会水解、缩合成硅烷醇,并受温度、pH值、浓度影响。避光、防潮保存。 25℃以下保存最好不超过三个月。

欲了解更多信息 请参阅安全数据表 (MSDS)、产品安全数据表和产品检验报告 联系我们


浩康证书

准备好开始了吗?

立即联系山东隆楚新材料有限公司有机硅产品供应商,让您的想法或设计更快变为现实!

请填写联系表格,我们预计在24小时内回复您。

相关产品

Cas: 23843-64-3

脲基丙基三甲氧基硅烷是一种化学物质物质

Cas: 4420-74-0

(3-巯基丙基)三甲氧基硅烷 (KH-590) 是一种双功能硅烷偶联剂,可在无机基材(例如金属、玻璃纤维)和有机聚合物(例如橡胶、树脂)。

Cas: 14814-09-6

3-巯基丙基三乙氧基硅烷是一种化学物质,为浅黄色液体液体。

Cas: 78-10-4

常在有机合成中用作试剂。原硅酸乙酯可作为催化剂或反应中间体参与多种有机反应,如酯化、醚化等。

我们的市场

山东隆楚新材料有限公司成立于2015年,是一家专注于硅胶产品的制造商。其产品种类包括:有机硅烷、硅树脂、硅油、改良硅油及其深加工产品,产品的应用领域涵盖日常......