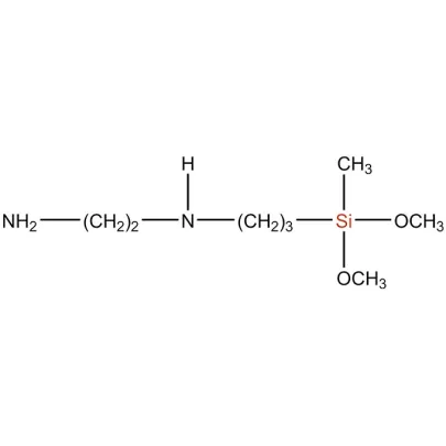
N-(2-氨基乙基)-3-氨基丙基甲基二甲氧基硅烷

3-(2-氨基乙基氨基)丙基二甲氧基甲基硅烷 硅烷1411;道康宁 Z-6020;氨基乙基氨基丙基甲基二甲氧基硅烷; HD-103; 3-(2-氨基乙基氨基)丙基二甲氧基甲基硅烷
N-(2-氨基乙基)-3-氨基丙基甲基二甲氧基硅烷

物理和化学性质

化学文摘社编号3069-29-2
EINECS 编号221-336-6
公式C8H2222
分子量206.4
沸点265°C [760毫米汞柱]
闪点93℃
着火温度290℃
颜色和外观无色透明液体
密度 25/25°C0.970-0.980
折射率1.445 [25°C]
最低纯度99%


应用

1、本产品为双功能偶联剂,可增加有机材料与无机基材材料的粘结能力。

2、用作二胺型氨基改性硅油及多种有机硅超柔软整理剂的原料。偶联剂的氨基官能团与硅油骨架键合后,大大改善了有机硅(分子)在纤维上的取向,增加了与纤维的亲和力,赋予各种纤维超柔软、滑爽、悬垂、抗静电、耐洗、抗皱等性能。

3、用于硅烷固化、聚硫密封剂(胶)。单、双组份可交联(渗透)有机硅(聚硫)密封胶,从而提高对基材(水泥、铜、玻璃等)的附着力,且固化时无气泡,体系颜色浅。

4、可在聚硫化物、聚氯乙烯增塑溶胶、有机硅双组份聚氨酯和环氧胶粘剂和密封剂中用作粘合促进剂。

5、从硅烷硅氧烷化学的角度来看,它可以作为合成氨基官能有机硅的起始原料。

6.可用作乳胶漆、粘合剂和密封剂的添加剂。

包装及储存

采用200Kg钢桶或950Kg IBC集装箱包装。

在原始未开封的容器中,在干燥阴凉的地方,保质期为一年。

欲了解更多信息请参阅安全数据表 (MSDS)、产品安全数据表和产品检验报告联系我们


浩康证书

准备好开始了吗?

立即联系山东隆楚新材料有限公司有机硅产品供应商,让您的想法或设计更快变为现实!

请填写联系表格,我们预计在24小时内回复您。

相关产品

Cas: 1185-55-3

三甲氧基(甲基)硅烷

Cas: 22984-54-9

用作室温硫化硅橡胶和有机硅玻璃胶的交联剂(中性)。

Cas: 2224-33-1

乙烯基三氯硅烷与丁酮反应肟,中和,纯化,得到成品。

Cas: 34036-80-1

八-(O-氰乙基)蔗糖

我们的市场

山东隆楚新材料有限公司成立于2015年,是一家专注于硅胶产品的制造商。其产品种类包括:有机硅烷、硅树脂、硅油、改良硅油及其深加工产品,产品的应用领域涵盖日常......